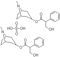
- 中文别名:
- (8-甲基-8-氮杂双环[3.2.1]辛-3-基)3-羟基-2-苯基-丙酸酯硫酸盐
- 英文别名:
- Atropine Sulfate, Atropa belladonna L.; Atropinesulfate; 8-methyl-8-azabicyclo[3.2.1]oct-3-yl 3-hydroxy-2-phenylpropanoate sulfate (2:1); (3-endo)-8-methyl-8-azabicyclo[3.2.1]oct-3-yl 3-hydroxy-2-phenylpropanoate sulfate (1:1); bis{(3-endo)-3-[(3-hydroxy-2-phenylpropanoyl)oxy]-8-methyl-8-azoniabicyclo[3.2.1]octane} sulfate
- InChI:
- InChI=1/2C17H23NO3.H2O4S/c2*1-18-13-7-8-14(18)10-15(9-13)21-17(20)16(11-19)12-5-3-2-4-6-12;1-5(2,3)4/h2*2-6,13-16,19H,7-11H2,1H3;(H2,1,2,3,4)/t2*13-,14+,15+,16?;
- 分子结构:
-

- 沸 点:
- 810.6°C at 760 mmHg
- 产品用途:
- 抗胆碱药,用于胃肠道、胆绞痛,散瞳检查验光,角膜炎,有机磷农药中毒、感染性休克等综合症的治疗
©2013
www.idochem.com 苏ICP备10098795号 最全面的在线
化工词典数据库